Con respecto al primer problema.
Primero debes encontrar las raíces de la ecuación.
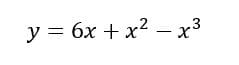
Siendo la función.

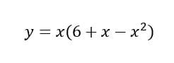
Primero despejemos la x del primer temino.

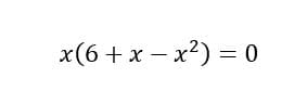
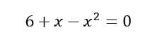
Con esto para encontrar las raíces, o lo que es lo mismo, la intersección de la gráfica con el eje "x" igualamos la ecuación a cero.

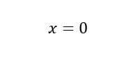
Con esto ya puedes ver parte de las intersecciones.

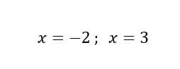
Esa es la primera raiz, la segunda seria con una ecuacion asi.

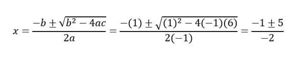
Para ello usamos la formula para resolver ecuaciones cuadraticas.

Resolviendo te quedan las sigueintes intersecciones.

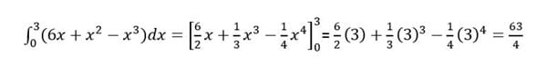
Ahora debes realizar la integral, antes de eso te mostrare como es la gráfica de la función.

La funcion quedaria defina de esta manera.

Como puedes ver la integral se realiza entre el 0 y el 3, también puedes ver el procedimiento.
También te dejo, la gráfica ashurada de la integral y el resultado utilizando el programa GeoGebra.


Espero te sirva. Si deseas deseas que resuelva la siguiente me comentas, que estés bien.