¿Como hallar un número conociendo sus divisores?
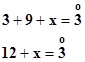
De un número se conoce:
-Sus Centenas son 3.
-Sus Decenas son 9.
-Sus Unidades son X.
Se sabe que el número en cuestión es divisible por: 3 - 4 - 11
¿Cómo sería la forma en que se plantean las ecuaciones para hallar el número?
(El resultado es 396, la respuesta me fue dada junto a la pregunta. Lo que necesito saber es la forma de acercarse a este tipo de problemas.)
2 Respuestas
Respuesta de Lucas m
1
Respuesta de Luis Alberto Candio Salcedo
1


