Quien puede resolver ejercicios sobre integrales convergentes o divergentes
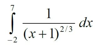
Evaluar las siguientes integrales impropias si convergen o divergen:

Amigos de todoexpertos les pido su colaboración en la solución de este problema, de igual forma especificar si el ejercicio es convergente o divergente.
1 respuesta
Respuesta
1

