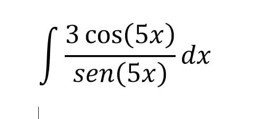
Resolver aplicando las propiedades básicas, la siguiente integral:
El conjunto de todas las antiderivadas de f(x) se llama integral indefinida de f respecto a x, y se denota por el símbolo ∫?(?)?? =?(?) +?.
1 respuesta
Respuesta
1


