Como resuelvo las siguientes operaciones integrales?
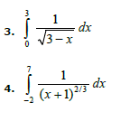
Resolver las siguientes integrales enunciando claramente la técnica o propiedad usada.

1 respuesta
Respuesta de Lucas m
1