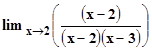
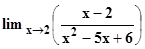
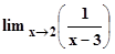
Solución a los siguientes dos limites.
Espero alguien pueda ayudarme para encontrar la solución de los 2 limites que pongo a continuación

1 Respuesta
Respuesta de Luis Alberto Candio Salcedo
1


