Problemas de Progresiones aritméticas y geométricas
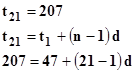
1- Es una progresión aritmética el primer termino y el ultimo termino son 47 y 207, respectivamente, hallar el décimo termino si la suma de sus términos es 2767.
2- La suma de los términos que ocupan el lugar impar, es una progresión geométrica de seis términos, es 1365 y la suma de los que ocupan el lugar par 5460. Hallar el primer termino y la razón.
1 Respuesta
Respuesta de Luis Alberto Candio Salcedo
3


