Algebra lineal : Encuentre la magnitud y dirección de los siguientes vectores: v=(7,2) v=(5,-√8)
- Desarrollarán las temáticas de Operaciones entre vectores, magnitud y ángulo; Operaciones sobre matrices, operaciones entre matrices y cálculo de determinantes.
- Encuentre la magnitud y dirección de los siguientes vectores:
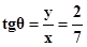
v=(7,2)
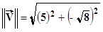
v=(5,-√8)
1 respuesta
Respuesta de Luis Alberto Candio Salcedo
1
