Álgebra lineal, linealidad: como determino si la transformación lineal es o no es lineal
De la siguiente transformación


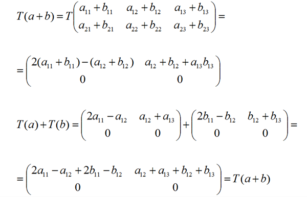
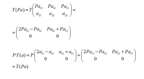
se que para que sea lineal tiene que cumplir estas propiedades
1) T(a+b) = T(a) + T(b)
2) T(Pa) = P·T(a)
Como lo aplico aun no lo domino y tengo varios ejercicios así solo ocupo unos ejemplos
1 respuesta
Respuesta de Lucas m
1

