Resolver el siguiente problema El chorro de agua
- Resuelve el siguiente problema. Desarrolla el procedimiento e incorpora la solución.
A un tinaco de 4.5 m de alto se le hace un pequeño agujero debido al tiempo y la corrosión, este agujero se encuentra justo en la base del tinaco. Deduce la fórmula para calcular la velocidad con que saldrá el chorro de agua por el agujero y calcula.
Desarrollo:
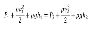
Partiendo de la ecuación de Bernoulli, toma en cuenta las consideraciones indicadas, realiza las sustituciones en la ecuación y escribe la expresión que resulta:

La velocidad en el punto más alto es insignificante comparada con la velocidad del chorro,


2 respuestas
Respuesta de Valero Angel Serrano Mercadal
1
Respuesta de albert buscapolos Ing°
