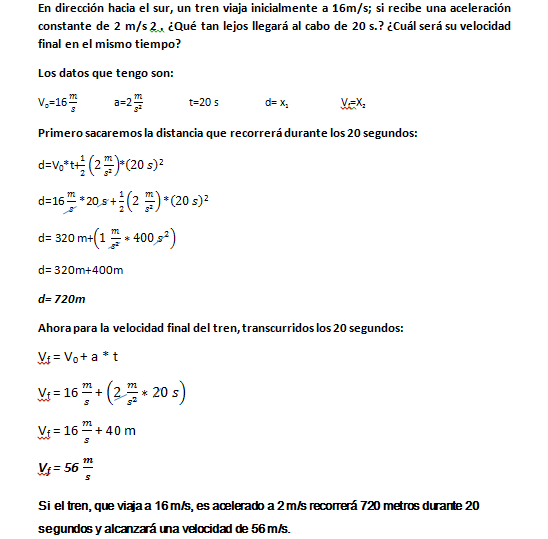
·
·
¡Hola Elsa!
La función lineal es la de la velocidad, la del espacio es cuadrática, luego supongo que quieres la de la velocidad.
La función es:
v(t) = 16 + 2t
Como es una recta basta conocer dos puntos para poder trazarla.
En Geogebra usaremos la hoja de cálculo para hacerlo, aunque se pueden calcular a mano pero eso lo sabe hacer todo el mundo.
Entonces la fórmula que se pone en la celda B2 es
= 16+2*A2
Y en B3 se copia la celda B2
Se seleccionan esas cuatro celdas y se pincha con el botón derecho y se selecciona crear lista de puntos, con ello los puntos irán a la zona gráfica y luego trazamos la recta. Por supuesto que se podría hacer directamente escribiendo en el cajetín de entrada
v(t) = 16 + 2t
Pero he formulado otra forma de hacerlo.
Al final te queda esto:

Y este es el enlace con el fichero de Geogebra por si quieres modificar la gráfica: Gráfica de la velocidad GeoGebra.
Y eso es todo, saludos.
:
: