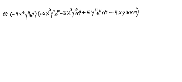
Tarea de matemáticas ejercicio monomio por polinomio
Realizar este ejercicio de monomio por polinomio. Tarea de matemáticas

2 Respuestas
Respuesta de Lucas m
1
Respuesta de Valero Angel Serrano Mercadal
1