Necesito que me ayuden a resolver el siguiente ejercicio sobre limites

2 respuestas

Respuesta

·

·

¡Hola Luis!

Es un ejercicio muy fácil, solo tienes que sustituir la x por 0 y evaluar

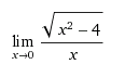
$$\begin{align}&\lim_{x\to 0} \frac{\sqrt {x^2-4}}{x}=\frac{\sqrt{0^2-4}}{0}= \frac {\sqrt{-4}}{0}\end{align}$$

Un momento la función está definida en

(-inf, -2)  U  (2, inf)

No hay límite en 0 porque para que lo haya la función debe estar definida en las inmediaciones de 0, no es necesario que esté definida en 0 pero sí que haya puntos donde esté definida en todo entorno de x=0

Este ejemplo no se me ha dado nunca, no sé lo que dirá la teoría más estricta.

Sa lu dos.

:

:

Respuesta

:)

Hola! Luis. Observa que si analizas la expresión:

x² - 4

con "x" en el siguiente intervalo: -2 < x < 2

La expresión "x² - 4" resultará SIEMPRE NEGATIVA y -sabrás- que la raíz cuadrada de un número negativo no está definida.

En consecuencia NO es posible determinar el límite que has planteado.

Por ello te re-pregunto: ¿Seguro qué la variable "x" debe tender a "cero" o será que debe tender +inf (o a -inf)?
Aclara esa cuestión, por favor: ¿Sí?...

Mario R.

Añade tu respuesta

Haz clic para o

Más respuestas relacionadas