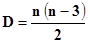
De cuantas formas de puede trazar una diagonal
De cuantas formas se puede trazar una diagonal en un polígono de diez lados.
Matematica
2 respuestas
Respuesta de Luis Alberto Candio Salcedo
1
Respuesta de Valero Angel Serrano Mercadal
1
