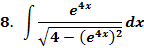
Como evaluar la siguiente integral

Que tipo de integración se utiliza inmediata con sustitución, integración por cambio de variable, integración por racionalización e integración por sustitución trigonométrica.
Respuesta de Valero Angel Serrano Mercadal
1
1 respuesta más de otro experto
Respuesta de Lucas m
1