Quien resolver ejercicio de calculo

Debes introducir la descripción de la pregunta. Debes introducir la descripción de la pregunta.
1 Respuesta
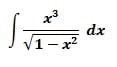
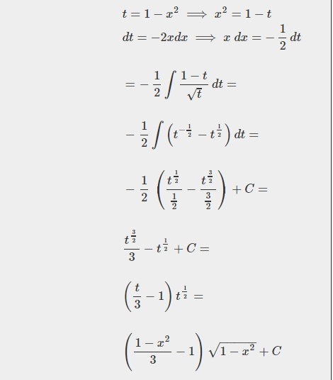
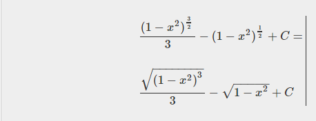
Respuesta de Lucas m
1


