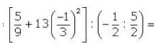
Me pueden indicar como resuelvo este ejercicio?

Gracias por su aporte. Les calificare excelente paso por paso
1 Respuesta
Respuesta de Lucas m
2