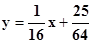
La ecuación de la línea recta que pasa por el punto (-6,5) y es perpendicular a la recta con ecuación -8x + 128y = 50 es:
No entiendo como aplicar las leyes a este ejercicio en particular
3 respuestas
Respuesta de Valero Angel Serrano Mercadal
1
Respuesta de Lucas m
1
Respuesta de Luis Alberto Candio Salcedo
1
