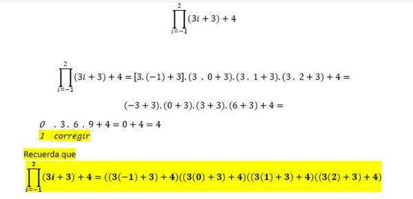
Calcular la siguiente sumatoria de álgebra trigonometría y geometría analítica

Agradezco su ayuda en este ejercicio de álgebra trigonometría y geometría analítica
3 respuestas
Respuesta de Lucas m
1
Respuesta
1
Respuesta de Valero Angel Serrano Mercadal
1

