Quien puede resolver estas derivadas
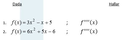
Calular las siguientes derivadasde orden superior

1 respuesta
Respuesta de Valero Angel Serrano Mercadal
1