·
·
¡Hola Jaime!
Sí, para eso están los cascarones, para calcular el volumen de sólidos girando alrededor del eje Y cuando nos dan la función f(x), sin tener que calcular la función inversa.
Los puntos de corte de f(x) con eje X son
x^3-x= 0
x(x^2-1) = 0
x=0
x^2-1=0
x^2=1
x=-1
x=1
Mejor que haga la gráfica, creo que has pasado algo por alto

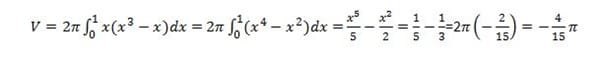
La región que genera volumen no es solo la [0,1], la [-1,0] tambien genera volumen que se suma al anterior.
Por simetría, ya que la función es impar, puedes poner el doble del volumen anterior.
Y si lo quieres hacer sin simetrías debes tener mucho cuidado para que no se compensen volúmenes positivos con negativos, hay que hacer dos integrales y sumar los módulos de cada una. Es lo malo del método de los cascarones, que da volúmenes negativos.
$$\begin{align}&V=2\pi\left|\int_{-1}^0 x(x^3-x)dx\right|+2\pi\left|\int_{0}^1 x(x^3-x)dx\right|=\\&\\&2\pi\left|\left[\frac{x^5}{5}-\frac {x^3}3 \right]_{-1}^0\right|+2\pi\left| \left[\frac{x^5}{5}-\frac {x^3}3 \right]_{0}^1\right|=\\&\\&2\pi\left|\frac 15-\frac 13 \right|+2\pi\left|\frac 15-\frac 13 \right|=2\pi\left|-\frac 2{15}\right|+2\pi\left|-\frac 2{15}\right|=\frac{8\pi}{15}\\&\end{align}$$Y eso es todo, espero que te sirva.
Sa lu dos.
_
_