Como determino si el conjunto dado de vectores genera el espacio vectorial dado?

Otra pregunta la cuestión es que me estoy enredando mucho con estos temas como hago para saber si generan el espacio vectorial dado de los siguientes puntos

1 respuesta

Respuesta
1

·

·

¡Hola Andres!

Debes saber la dimensión del espacio vectorial y la cantidad de vectores linealmente independientes que hay en el conjunto que te dan. Si ambos números coinciden el conjunto genera el espacio completo. Si los vectores libres son menos que la dimensión no lo generan completo, generan un subespacio de dimensión la cantidad de vectores l.i.

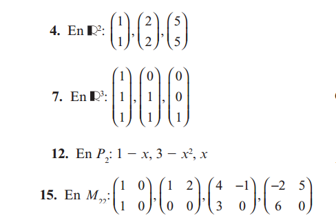
4. (1,1) (2,2), (5,5)

El vector (1,1) multiplicado por 2 nos (2,2) luego (2,2) sobra. Y el mismo vector (1,1) multiplicado por 5 nos da (5,5), luego (5,5) sobra. Solo hay un vector linealmente independiente y la dimensión de R2 es 2, luego no lo genera.

·

7) Si lo genera. Lo que pasa es que yo no sé hasta donde habrás estudiado. Cuando see tiene una matriz triangular superior o inferior el determinante es el producto de la diagonal. Si pones estos tres vectores en una matriz se cumple eso, por lo tanto el determinante es 1·1·1 que es distinto de 0 y los tres vectores son l.i. Con lo cual generan R3 que tiene dimensión 3.

·

12) P2 es de dimensión, ojo.

Mejor si los ponemos como matriz, antes intercambio segundo y tercero

1 -1   0

0  1   0

3  0  -1

Puedes calcular el determinante, es lo más corto

-1

Y ya está, ese es el único producto no nulo.

O puedes hacer operaciones de filas

La primera por (-3) la sumo a la tercera

1 -1   0

0  1   0

0  3  -1

Segunda por (-3) la sumo a la tercera

1 -1   0

0  1   0

0  0  -1

Y ya no se puede hacer ninguna fila con todo 0, luego el rango es 3 y los tres son l.i.

El otro te lo dejo como ejercicio que dirían los maestros. O sino mándamelo en otra pregunta, que aquí ya hice tres y este que queda es largo.

S a l u d o s.

:

:

Añade tu respuesta

Haz clic para o

Más respuestas relacionadas