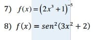
Realizar los sigueinete ejercicios de derivadas calculo difeerncial

Buenas tardes amigos gfracia por su ayuda al igual que los anteriores por favor mencionar las propiedades que utilizaron para soluicnar gracias feliz rade
2 respuestas
Respuesta de Lucas m
1
Respuesta de Valero Angel Serrano Mercadal
1