¿Como calcular las siguientes integrales definidas?

Calcular las siguientes integrales definidas si no es mucha molestia!

1 respuesta

Respuesta
1

;)
Hola Luis!

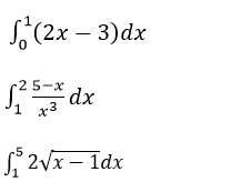
$$\begin{align}&\int _0^1(2x-3)dx= x^2-3x \Bigg |_0^1=(1-3)-0=-2\\&\\&\int_1^2 \frac{5-x}{x^3} dx= \int 5x^{-3}-x^{-2}dx= 5 \frac{x^{-2}}{-2}- \frac{x^{-1}}{-1}=\frac{-5}{2}x^{-2}+x^{-1} \Bigg |_1^2=\\&\\&\frac{-5}{2} 2^{-2}+2^{-1}-\Big  (\frac{-5}{2}+1^{-1}\Big)= \frac{-5}{8}+ \frac{1}{2}+\frac{5}{2}-1= \frac{11}{8}\\&\\&\int_1^5 2 (x-1)^{\frac{1}{2}}=2  \frac{(x-1)^{\frac{3}{2}}}{\frac{3}{2}}= \frac{4}{3} \Bigg [(x-1)^\frac{3}{2} \Bigg]_1^5= \frac{4}{3}  \Big(4^\frac{3}{2}-0 \Big)= \frac{4}{3}·8=\frac{32}{3}\end{align}$$

saludos

;)

;)

Añade tu respuesta

Haz clic para o

Más respuestas relacionadas