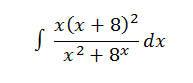
¿Cómo se resuelve esta integral?

Por fa necesito la explicación, me falta algo de práctica al integrar y no hallo qué hacer con esta :/
1 respuesta
Respuesta de Valero Angel Serrano Mercadal
1