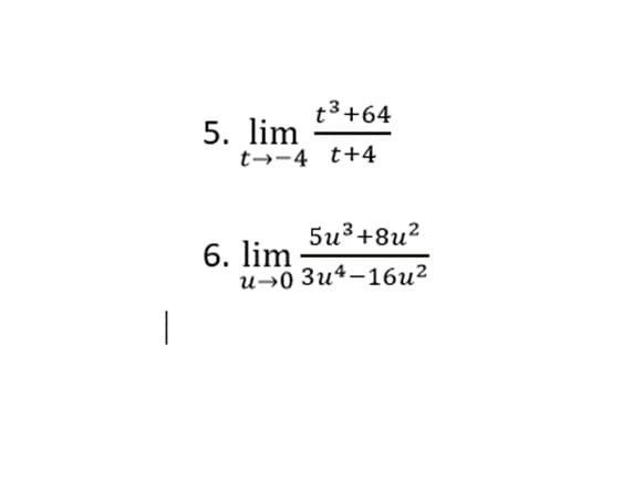
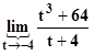
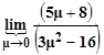
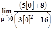
Desarrollo de este limite de t cuando tiende a -4
Ejercicios calculo diferencial limites, como resolver estos ejercicios

2 respuestas
Respuesta de Luis Alberto Candio Salcedo
1
Respuesta de Valero Angel Serrano Mercadal
1








