Ejercicios de álgebra lineal resolver

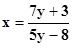
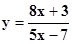
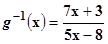
Buenas tardes gracias por su ayuda espero me ayuden y narren los pasos que se realizan
3 Respuestas
Respuesta de Luis Alberto Candio Salcedo
2
Respuesta de Lucas m
1
Respuesta de Valero Angel Serrano Mercadal
1
