Calcular la siguiente integral impropia
Aquí otra integral impropia.
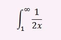
Calcular la siguiente integral impropia:

1 respuesta
Respuesta de Valero Angel Serrano Mercadal
1