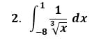
Evaluar la siguiente integral impropia desarrollo paso a paso

Buenas nochses amigos de todo expertos nuevamente pidiendo su ayuda esta vez con integrales
Si el límite existe y es finito, decimos que la integral impropia es convergente, donde el límite es el valor de la integral. Si el límite no existe, decimos que la integral impropia es divergente. Es fundamental mencionar si es convergente o divergente y describir los prosedoimiento para tener mejor claridad espero sua ayuda
1 respuesta
Respuesta de Valero Angel Serrano Mercadal
1