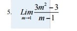
Desarrollar el siguiente limite paso a paso mencionando las operaciones realizadas

Buenas tardes gracia por su ayuda es fundamental para mi aprendizaje espero me ayuden con este 5 ejercicio de igual forma mencionado los procedimiento a utilizar
2 Respuestas
Respuesta de Lucas m
1
Respuesta de Valero Angel Serrano Mercadal
1