Preguntas esperando respuesta
Actividad pública reciente
Ha valorado "Excelente" la respuesta
Calcular el interés simple que generó el capital de 55,000.00 en 4 años a una tasa del 12% anual.
· · ¡Hola Andy! 1) Los intereses de un capital puesto a interés simple son: También podría hacerse este último pasando la tasa a tasa mensual, pero es el método más feo. Y eso es todo, saludos. : :
Ha valorado "Excelente" la respuesta
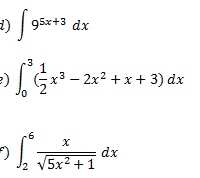
Solucion de las siguientes integrales
Ha valorado "Excelente" la respuesta
Aplicar la Integral definida y por sustitución
Voto positivo a la respuesta
Procedimiento para las siguientes integrales:c) ∫▒〖3xe^(1-2x^2 ) 〗 dx; h) ∫_(-4)^0▒1/(x+5) dx
· La primera la resolveremos por cambio de variable. La segunda también sería por cambio de variable, pero es tan sencillo que la haremos como inmediata en vez de montar el tenderete.
Voto positivo a la respuesta
¿Cómo dar solución a este tipo de integrales?
Ha empezado a seguir el tema Matemáticas
Ha cambiado su perfil.
- Nombre completo: Andy vera.
Ha preguntado en el tema en
Matemáticas
Analiza las siguientes situaciones:• Ser consultor de un negocio• El presupuesto con el que cuentas para abrir o mejorar.
En ambas situaciones, aplica las matemáticas para los negocios y describe, plantea, elabora y da el resultado acerca de 2 ejercicios aplicados a: la aritmética, el álgebra, las ecuaciones lineales, funciones lineales.
Sin respuestas
Ha valorado "Excelente" la respuesta
De La función de demanda para un producto es p= 25^2 Calcula lo siguiente:
· · ¡Hola Jemi! Repasa el enunciado, lo normal es que en la función de la demanda aparezca la variable x o la q y no aparece ninguna en la parte derecha. Saludos: : :
Ha empezado a seguir el tema Planes de Jubiliación
Ha empezado a seguir el tema Seguros
