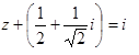
Hallar un número complejo z con la condición dada z + (1/2 + 1/√2i)= i
Necesito ayuda sobre este problema es en relación a los números complejos Hallar un número complejo z con la condición dada z + (1/2 + 1/√2i)= i

1 respuesta
Respuesta de Valero Angel Serrano Mercadal
1