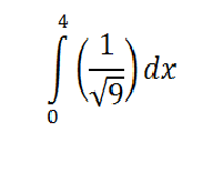
Calculo integral, resolver la siguiente función de la imagen de integral definida.

Resolver la siguiente función de la imagen de integral definida.
2 respuestas
Respuesta de Valero Angel Serrano Mercadal
1
Respuesta de Lucas m
1