Determine si la siguiente serie es convergente o divergente.

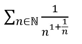
Problema de la materia de Análisis Matempatico, segundo curso. Determine si la siguiente serie es convergente o divergente, usando los criterios del cociente o de Alambert, de Raabe, o de la integral, o el que mejor demuestre la convergencia o divergencia de la serie. Sumatoria de n al infinito, de 1/(n^(1+1/n)).

1 respuesta

Respuesta
1

·

·

¡Hola Claudio!

Empecé mal, probando D'Alambert, raíz y Raabe y no decían nada porque el límite era siempre 1. No vi que el primero que tenías era el del cociente y sol me di cuenta después y es el que necesitabamos.

Todos sabemos que la serie 1/n es divergente, nos lo han enseñado, si no sabes como se demuestra dímelo.

Entonces el criterio del cociente dice que si el cociente de dos positivas es un número finito distinto de 0 ambas series tienen la misma condición, es decir ambas son convergentes o ambas divergentes.

Entonces usaremos el criterio del cociente con tu serie y la serie 1/n

Lim

$$\begin{align}&\lim_{n\to \infty} \frac{\frac 1n}{\frac{1}{n^{1+\frac 1n}}}=\lim_{n\to\infty}\frac{n^{1+\frac 1n}}{n}=\lim_{n\to \infty}n^{\frac 1n}\\&\\&\text{Y para calcular ese límite usamos logaritmos}\\&\\&Sea \;\\&\\&L=\lim_{n\to \infty}n^{\frac 1n}\\&\\&log(L)=log\left( \lim_{n\to \infty}n^{\frac 1n} \right)=\lim_{n\to\infty} log\left(n^{\frac 1n}  \right)=\\&\\&\lim_{n\to \infty}\left(\frac 1n log\, n\right)=0\\&\\&\text{Ya que sabemos que }n>>log\,n \quad\text{ cuando n}\to \infty\\&\\&Log(L)=0\\&\\&L=1\\&\\&\text{Y por tanto ambas tienen la misma condicion, divergentes}\end{align}$$

:

:

¡Gracias! Muy amable. saludos

¡Hombre Claudio, vota excelente que no te cuesta nada y te va a venir bien si haces más preguntas!

Añade tu respuesta

Haz clic para o

Más respuestas relacionadas