Series y sucesiones

0 seguidores
Este tema está pendiente de aprobación
Preguntar
Pregunta en y en 4 temas más de

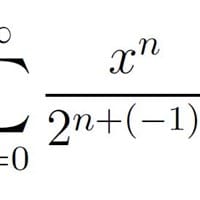
Radio de convergencia. Determine el radio de convergencia.

Por el criterio que acomode, ya sea por el criterio de la raíz o por el criterio del cociente, o cualquier metodología, determinar el radio de convergencia de la siguiente serie: Puede ser también por DLembert, MacLaurin, etc.
Pregunta en y en 4 temas más de

Determine si la siguiente serie es convergente o divergente.

Problema de la materia de Análisis Matempatico, segundo curso. Determine si la siguiente serie es convergente o divergente, usando los criterios del cociente o de Alambert, de Raabe, o de la integral, o el que mejor demuestre la convergencia o...
Pregunta en y en 4 temas más de

Demostrar que las siguientes series son absolutamente convergentes.

Por favor, si me ayudan en este problema de demostración de series absolutamente convergentes.