Análisis real

0 seguidores
Este tema está pendiente de aprobación
Preguntar
Pregunta en y en 4 temas más de

Determine si la siguiente serie es convergente o divergente.

Problema de la materia de Análisis Matempatico, segundo curso. Determine si la siguiente serie es convergente o divergente, usando los criterios del cociente o de Alambert, de Raabe, o de la integral, o el que mejor demuestre la convergencia o...
Pregunta en y en 4 temas más de

Integral de Riemann-Stieltjes:Para una función f-integrable en [a,b] demostrar la integral:

Esta es el inciso b) de una pregunta pasado: Demostrar la afirmación en base al teorema de la integración por partes.
Sin respuestas
Pregunta en y en 4 temas más de

Si una función es f-integrable en [a,b], demostrar la integral.

Demostrar la afirmación de la integral examinamdo las dos sumas de Riemann-Stieltjes para una partición P=(x0, x1, x2,..., xn)
Sin respuestas
Pregunta en y en 4 temas más de

Demostrar que una función f continua es Riemann-Stieltjes integrable con respecto a g:

Demostrar que para toda función f continua en [0,5], se tiene que f es Riemann-Stieltges integrable con respecto a g y calcular la integral. La función g(x)=[ x ] llamada función entero máximo o función suelo.
Sin respuestas
Pregunta en y en 4 temas más de

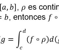
¿Cómo demuestro que si f es g-integrable en I=[a,b]...?

Demostrar que si f es g-integrable en I=[a,b] rho es continua y esctrictamente creciente en [c.d] y si rho(c)=a rho(d)=b entonces ( f o rho) es (g o rho)-integrable y se cumple la integral:
Sin respuestas
Pregunta en y en 4 temas más de

¿Cómo pruebo que esta función es Riemann integrable en [0,1]?

Prueba que la función f:[0,1]->R definida mediante: Es Riemann integrable en [0,1] y el valor de la integral es 0.
Pregunta en y en 4 temas más de

¿Como realizo esta demostración de Riemann-Stieltjes?

Demuestra que si f es constante en el intervalo [a,b], entonces es Riemann-Stieltjes integrable con respecto a cualquier función g:
Sin respuestas
Pregunta en y en 4 temas más de

Integral de Riemann-Stieltjes y series infinitas.

¿En qué casos es posible expresar una serie (infinita) como integral de Riemann-Stieltjes? Y viceversa.
Sin respuestas
Pregunta en y en 4 temas más de

¿Para qué sirve la integral de Riemann-Stieltjes ?

Necesito saber, cuál es el objetivo del estudio y aplicación de la integral de Riemann-Stieltjes, una descripción sin símbolos matemáticos, algo como en prosa normal o lenguaje coloquial.
Sin respuestas
Pregunta en y en 4 temas más de

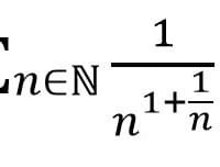
Demostrar que las siguientes series son absolutamente convergentes.

Por favor, si me ayudan en este problema de demostración de series absolutamente convergentes.