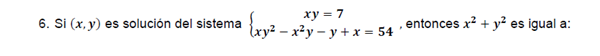
¿Como se saca la solución al sistema Matemático?
Cual debería de ser los procedimientos a seguir para resolver un sistema matemático..
gracias por su ayuda..
2 respuestas
Respuesta de Lucas m
1
Respuesta de Valero Angel Serrano Mercadal
1