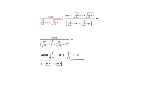
Solicito me orienten si este ejercicio de denominadores esta bien realizado.
Estimados le pido me digan si lo que hice en el ejercicio de racionalizar denominadores, Esta bien hecho hasta donde yo lo hice.
Les pido paciencia porque insisto con estos ejercicios, hace veinte años que deje de estudiar y me preparo solo con la ayuda de ustedes. No son deberes, ya que todavía no curso carrera alguna, los apuntes de álgebra son del año 1985.
Envío una imagen del mismo.
Gracias

Respuesta de Mario Rodríguez
2
2 respuestas más de otros expertos
Respuesta de Lucas m
1
Respuesta de Valero Angel Serrano Mercadal
1

