Ejercicio de calculo integral, integración por partes

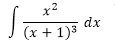
Necesito que me ayuden a resolver este ejercicio de calculo integral que dice: Evalúa la integral usando el método de descomposición de fracciones parciales

1 Respuesta

Respuesta
1

·

·

¡Hola Juan!

La noticia buena es que ya está factorizado el denominador.

Las fracciones parciales para este caso de raíces repetidas son:

$$\begin{align}&\frac{a}{x+1}+\frac{b}{(x+1)^2}+\frac{c}{(x+1)^3}=\\&\\&\frac{a(x+1)^2+b(x+1)+c}{(x+1)^3}=\\&\\&\frac{ax^2+2ax+a+bx+b+c}{(x+1)^3}=\\&\\&\frac{ax^2+(2a+b)x+a+b+c}{(x+1)^3}\\&\\&\text{debe darse la igualdad}\\&\\&ax^2+(2a+b)x+a+b+c=x^2\\&\\&a=1\\&2a+b=0\implies2+b=0\implies b=-2\\&a+b+c=0\implies 1-2+c=0\implies c=1\\&\\&\text{con lo cual la integral es}\\&\\&\int \frac{dx}{x+1}-\int \frac{2dx}{(x+1)^2}+\int \frac{dx}{(x+1)^3}=\\&\\&\text{Si lo necesitas, pon los denominadores en el}\\&\text{numerador con exponentes negativos para integrar}\\&\\&=ln(x+1)+\frac{2}{x+1}-\frac{1}{2(x+1)^2}+C\end{align}$$

:

:

Añade tu respuesta

Haz clic para o

Más respuestas relacionadas