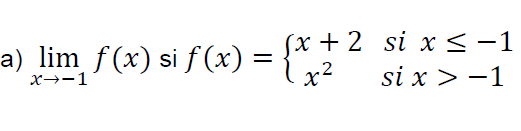
Hallar el Limite de la función cuando:

Calcula el limite de la función si es que existe.
Respuesta de Valero Angel Serrano Mercadal
1

Calcula el limite de la función si es que existe.