Thrasher Dany

Thrasher Dany

 México @thrasherdany desde - visto
Preguntar

Actividad pública reciente

Ha valorado "Excelente" la respuesta

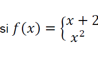
Hallar el Limite de la función cuando:

respondió: · · ¡Hola Thrasher! El límite existe si existen los dos límites laterales y son coincidentes. Los calculamos para ver si es así. El límite por la izquierda será el limite de la función a la izquierda de -1, es decir x+2 y el limite por la derecha...
Ha valorado "Excelente" la respuesta

Hallar el limite y la gráfica de la función

respondió: · · ¡Hola Thrasher! ¿No es esta la misma pregunta que contesté hace pocos días? Dada la siguiente función, halla el Dominio Ya me dirás. Valora aquí de todos modos, por favor. Saludos. · ·
Ha valorado "Excelente" la respuesta

Aplicaciones de la derivada: problemas de maximizacion

respondió: · · ¡Hola Thrasler! Acabo de hacer el del terreno del perro que es exactamente como este salvo por la longitud del alambre. Allí ya vios que lo mejor era hacer un cuadrado y aquí es lo mismo, entonces serán cuatro lados igules y cada uno medirá 150/4...
Ha valorado "Excelente" la respuesta

Aplicaciones de la Derivada, problemas de Optimización

respondió: · · ¡Hola Thrasher! Este viejo problema, ya sabemos que lo mejor es el cuadrado, pero vamos a resolverlo. Con los 200m tendrá que construir 2 bases y dos alturas 2b + 2h = 200 b+h = 100 El área es A=bh Si en la igualdad de arriba depejamos b b=100-h...
Ha valorado "Excelente" la respuesta

Un objeto se desplaza en el cielo de acuerdo a la función S(t)

respondió: · · ¡Hola Thrasher! La velocidad es la derivada de la posición respecto del tiempo S(t) = 4t^2 - 6t + 1 v(t) = S'(t) = 8t - 6 v(10) = 8·10 - 6 = 80 - 6 = 74 m/min Y eso es todo, espero que te sirva y lo hayas entendido. Saludos. : :
Ha valorado "Excelente" la respuesta

Área Máxima, Aplicaciones de la derivada

respondió: · · ¡Hola Thrasher! El área de los dos corrales juntos será A = bh Donde b es la base sumada de los dos y h la altura El dibujo nos dice que la cantidad de alambre que se gasta es 2b+3h = 100 Despejamos b Por ejemplo para llevarlo a la fórmula del...
Ha valorado "Excelente" la respuesta

Dada la siguiente función, halla el Dominio

respondió: · · ¡Hola Thrasher! El dominio es todo R ya que x+2 sirve para todos los valores menores o iguales a -1. Y x^2 sirve para todos los valores mayores que -1. La gráfica puede ser así: : :
Ha valorado "Excelente" la respuesta

Encontrar la pendiente de la recta tangente a la curva; aplicaciones de la DERIVADA.

respondió: · · ¡Hola Thrasher! Como te dicen, la pendiente de la recta tangente en un punto es la derivada en ese punto. Luego calcularemos la función derivada y la evaluaremos en ese punto. Esa es la pendiente, 22. : :