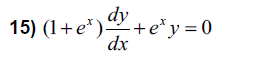
Matemáticas Oscar Jaramillo el 25 nov. 15 Como resuelvo esta ecuación diferencial Seguir Siguiendo Dejar de seguir 1 Respuesta Respuesta de Mario Rodríguez 1 1 Mario Rodríguez ..Aquí puedes aplicar lo mismo que te enseñé en tu pregunta anterior: Variables separadas si tan solo haces:(1 + e^x) (dy / dx) = - y e^x¿Te animas a seguirla?...Saludos, Cacho R... el 25 nov. 15 - Anónimo ahora mismo Añadir comentario Usa los comentarios si quieres aportar algo a esta respuesta. No los utilices para preguntar algo nuevo. Cancelar Enviar