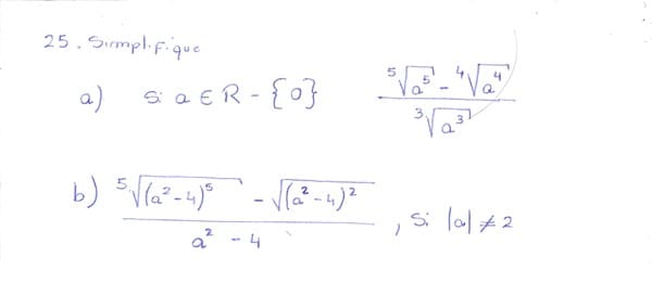
Duda sobre simplificación de expresión algebraica
Pase por aca por que tengo una duda concreta sobre 2 ejercicios en el que tengo que simplificar.. Son estos

Para que no haya confusion, a veces no se entiende mi letra
- a) Si a pertenece a los reales menos el cero
- b) si el modulo de A es distinto de 2
estan dentro de los ejercicios que estoy haciendo de polinomios.
Intente resolverlos pero al ser incognitas no se como poder simplificarlo aparte tienen la misma raiz y potencia... Ojala alguien pueda darme una mano...
Gustavo Omar Fellay Valero Angel Serrano Mercadal Sergio LP
Gracias igualmente.. Un saludo a todos y ! Gran sitio!
1 respuesta
Respuesta de Valero Angel Serrano Mercadal
1
