Polinomios

0 seguidores
Este tema está pendiente de aprobación
Preguntar
Pregunta en y en 4 temas más de

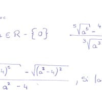
Duda sobre simplificación de expresión algebraica

Pase por aca por que tengo una duda concreta sobre 2 ejercicios en el que tengo que simplificar.. Son estos Para que no haya confusion, a veces no se entiende mi letra a) Si a pertenece a los reales menos el cerob) si el modulo de A es distinto de 2...
Pregunta en y en 3 temas más de

Duda con ejercicio sobre polinomios

Mi duda es sobre el siguiente ejercicio "Determine los numeros opuestos h y k para que p(x) = x^3 - x^2 + hx - k sea divisible por q(x) = x + 2 " Me confundo y no se que es lo que pide exactamente.. ¿Encontrar esos valores pero opuestos..?
Pregunta en y en 2 temas más de

Problema con división de polinomios...

Hola, tengo una duda en un problema de polinomios piden encontrar un polinomio tal que es divisble por x^2+1 y el mismo polinomio +1 (p(x)+1) es divisible por x^3+x^2+1 la duda que tengo es que a la hora de platear el problema lo hice de la siguiente...