Como generar el desarrollo de Derivación de orden superior e implícita.

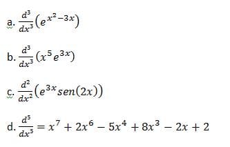
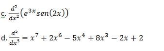
Me podrían ayudar con el desarrollo de las siguientes derivadas de orden superior

1 Respuesta

Respuesta
1

·

·

¡Hola Joan!

Son muchos ejercicios, haré dos y si quieres manda los otros dos en otra pregunta.

$$\begin{align}&a)  \frac{d^3}{dx^3}\left(e^{x^2-3x}  \right)\\&\\&\frac{d}{dx}\left(e^{x^2-3x}  \right)=(2x-3)\left(e^{x^2-3x}  \right)\\&\\&\frac{d^2}{dx^2}\left(e^{x^2-3x}  \right)=2\left(e^{x^2-3x}  \right)+(2x-3)(2x-3)\left(e^{x^2-3x}  \right)=\\&\\&\qquad(2+4x^2-12x+9)\left(e^{x^2-3x}  \right)=(4x^2-12x+11)\left(e^{x^2-3x}  \right)\\&\\&\frac{d^3}{dx^3}\left(e^{x^2-3x}  \right)=(8x-12)\left(e^{x^2-3x}  \right)+(4x^2-12x+11)(2x-3)\left(e^{x^2-3x}  \right)=\\&\\&\qquad (8x-12+8x^3-12x^2-24x^2+36x+22x-33)\left(e^{x^2-3x}  \right)=\\&\\&\qquad (8x^3-36x^2+66x-45)\left(e^{x^2-3x}  \right)\\&\\&\\&\\&\\&b) \frac{d^3}{dx^3}(x^5e^{3x})\\&\\&\frac{d}{dx}(x^5e^{3x})=5x^4e^{3x}+x^5·3e^{3x}=(3x^5+5x^4)e^{3x}\\&\\&\frac{d^2}{dx^2}(x^5e^{3x})=(15x^4+20x^3)e^{3x}+3(3x^5+5x^4)e^{3x}=\\&\\&\qquad (15x^4+20x^3+9x^5+15x^4)e^{3x}=\\&\\&\qquad (9x^5+30x^4+20x^3)e^{3x}\\&\\&\frac{d^3}{dx^3}(x^5e^{3x})=(45x^4+120x^3+60x^2)e^{3x}+3(9x^5+30x^4+20x^3)e^{3x}=\\&\\&\qquad (45x^4+120x^3+60x^2+27x^5+90x^4+60x^3)e^{3x}=\\&\\&\qquad(27x^5+135x^4+180x^3+60x^2)e^{3x}\end{align}$$

:

:

Gracias.Ángel aún me pierdo con el despeje apenas estoy viendo el tema y se me complica el desarrollo de los mismos, agradezco tu ayuda. saludos.

·

·

¡Hola Johan!

Veo que debes ser nuevo. Cuando decimos otra pregunta queremos decir que vuelvas a mandar una pregunta nueva. NO puede ser aquí porque aquí solo vamos a obtener una puntuación (que aun la tienes que dar por cierto) aunque contestaramos mil preguntas. Si mandas otra pregunta obtendremos dos puntuaciones. Esto se hace con las preguntas que llevan mucho tiempo y por lo tanto necesitan ser más recompensadas. No deberías mandar más que un ejercicio en cada pregunta eso sería lo mejor, las preguntas largas muchas veces no las contestamos o hacemos que las partas en varias.

¿Lo entendiste?

Saludos.

:

:

Por otro lado me dice que has valorado pero aquí no aparece como valorada. Voy a ver si se actualiza.

Añade tu respuesta

Haz clic para o

Más respuestas relacionadas