Buscar
Descubre en Todoexpertos
Temas interesantes
Preguntas
Respuestas
Expertos
Logros
Iniciar sesión
Entrar
Crear cuenta
Compartir
Compartir tema
Todoexpertos
Facebook
Twitter
Google+
Bloquear
Desbloquear
Marcar como inadecuado
Fisica analitica
0 seguidores
Este tema está pendiente de aprobación
Seguir
Siguiendo
Dejar de recibir notificaciones
Recibir notificaciones
No soy experto en este tema
Soy experto en este tema
Dejar de seguir
Preguntar
Resumen
Preguntas
Respuestas
Expertos
Seguidores
Pregunta en
Cálculo
y en 2 temas más de
johan kreuz
el 23 nov. 15
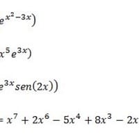
Como generar el desarrollo de Derivación de orden superior e implícita.
Me podrían ayudar con el desarrollo de las siguientes derivadas de orden superior
1 respuesta
Responder