Como resolver Derivada de funciones trascendentes

Me podrían ayudas a resolver estas Derivadas, soy nuevo en las matemáticas

Y casi no le entiendo.

1 respuesta

Respuesta
1

·

·

¡Hola Johan!

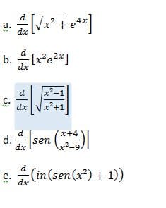
Ejercicios con esta dificultad solo hacemos dos por pregunta. El primero es confuso la raya de la raíz cuadrada no acaba no en el primero no en el segundo sumando, lo haré de las dos formas posibles

$$\begin{align}&a)  \text {Usaremos } (\sqrt u)'=\frac{u'}{2 \sqrt u}\\&\\&\frac{d}{dx}\left(\sqrt {x^2 +e^{4x}}\; \right)=\frac{2x+4e^{4x}}{2 \sqrt{x^2+e^{4x}}}=\frac{x+2e^{4x}}{\sqrt{x^2+e^{4x}}}\\&\\&\\&\\&b) \text{ Usaremos } (fg)'=f'g+fg'\\&\\&\frac{d}{dx}(x^2e^{2x})=2x·e^{2x}+x^2·e^{2x}·2=(2x^2+2x)e^{2x}\\&\\&\\&c) \text{Usaremos lo dicho en a y }\left(\frac fg  \right)'=\frac{f'g-fg'}{g^2}\\&\\&\frac{d}{dx}\left(\sqrt{\frac{x^2-1}{x^2+1}}  \right)=\frac{1}{2 \sqrt{\frac{x^2-1}{x^2+1}}}·\frac{2x(x^2+1)-(x^2-1)2x}{(x^2+1)^2}=\\&\\&\frac{2x^3+2x-2x^3+2x}{2(x^2+1)^2 \sqrt{\frac{x^2-1}{x^2+1}}}=\frac{2x}{(x^2+1)^2 \sqrt{\frac{x^2-1}{x^2+1}}}=\\&\\&\text{meteremos un }(x^2+1) \text{ dentro de la raíz}\\&\\&=\frac{2x}{(x^2+1)\sqrt{\frac{(x^2-1)(x^2+1)^2}{x^2+1}}}=\frac{2x}{(x^2+1)\sqrt{(x^2-1)(x^2+1)}}=\frac{2x}{(x^2+1)\sqrt{x^4-1}}\\&\end{align}$$

Bueno, hice tres porque los dos primeros eran muy fáciles.

:

:

Debes valorar esta respuesta antes de que conteste otras preguntas nuevas que has mandado.

Añade tu respuesta

Haz clic para o

Más respuestas relacionadas