Duda/confusión sobre la resolución de un ejercicio de polinomios
Los usuarios de la pagina :)
Como dice el titulo, tengo una duda que impide que no pueda resolver bien el siguiente ejercicio.

Resolución hecha por mi:
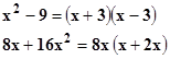
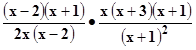
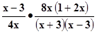
Yo lo que hice fue en un principio multiplicar cruzado, o sea hacer (x-3) * ( 8x + 16x^2 ) y ( 4x ) * ( x^2 - 9 ) y colocar los resultados cruzados.
Y volver a dividirlo, pero al final no llego a nada, aparte no entiendo la parte de "para que valores de x esta definido el cociente" :(
Por favor si alguien puede darme una mano se lo agradeceré bastante!
¡ Mucha suerte a todos!
1 Respuesta
Respuesta de Luis Alberto Candio Salcedo
1



