Actividad pública reciente
Ha empezado a seguir a
Ha valorado "Excelente" la respuesta
Duda con ejercicio sobre polinomios
Por el Teorema del Resto, si P(x) es divisible por x+2 ==> P(-2)=0 Además h=-k Saludos : :
Voto positivo a la respuesta
Esto se trata de geometria
· · ¡Hola Juliana! La longitud de una circunferencia se calcula con esta fórmula: : :
Ha empezado a seguir a
Ha valorado "Excelente" la respuesta
Ejercicio teórico/practico (teorema del resto) que no termino de entender :?
· · ¡Hola Cristian! El teorema del resto dice que un polinomio p(x) es divisible por (x-a) si y solo si p(a)=0 Luego vamos a comprobar si el polinomio que nos dan cumple el teorema. El polinomio es r(x) = p(x)·q(k) - p(k)·q(x) queremos ver si es...
Ha valorado "Excelente" la respuesta
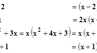
Duda/confusión sobre la resolución de un ejercicio de polinomios
Ha respondido en
Derecho y Leyes
y en 1 temas más
Quería saber si debería cobrar por cuidar a mi padre con alzehimer
De poder se podría pero si vos tienes sustento eso ya queda en como arreglen tu padre y vos.. tienes que charlarlo con el.
Ha respondido en
Deportes
y en 2 temas más
¿Cómo ser un reconocido deportista? - Argentina
Y es medio complicado com tu dices.. igualmente puedes empezar a hacerlo si quieres para mejorar tu calidad de vida y después ver si estas para algo importante, nunca esta mal hacer ejercicio.

