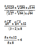
Como hallar el valor numérico de las siguientes expresiones? (solo son dos)

Solo pongo la imagen ya que no puedo escribirlo en estos momentos.
1 respuesta
Respuesta de Luis Alberto Candio Salcedo
1

En la primera parte en el numerador simplificamos el exponente y el indice. En la última parte racionalizamos.